
(Reminder with corrected K Registration Date): 26-27 Pre-K/K Registration
Application Link - PK - https://5il.co/3sx66 K - https://5il.co/3sx6e
Preston County Schools is now accepting applications for 2026-2027 Pre-K and Kindergarten programs.
Pre-K Registration will be held Friday, January 16, 2026, from 9:00 a.m.-2:00 p.m. at Aurora, Bruceton, Kingwood Elementary, South Preston, Terra Alta/East Preston, and West Preston Schools.
Kindergarten registration will be held Friday, January 16, 2026, from 9:00 a.m.-2:00 p.m. at Aurora, Bruceton, Kingwood Elementary, South Preston, Terra Alta/East Preston, and West Preston Schools.
Applications can be found on the Preston County Schools website and dropped off at one of the schools listed above. If you need a paper copy, it is available at the schools to pick up, complete and return to the school. The following information will need to be provided:
• completed preschool application
• copy of the child’s birth certificate from the Office of Vital Statistics
• immunization records
• completed well-child visit form
• dental check form
To register for PreK you need to be 4 years old by June 30. (No Exceptions)
To register for kindergarten you need to be 5 years old by June 30.
If you are registering a Kindergarten student and they are already enrolled in a Preston County PreK then you DO NOT have to register them for kindergarten. The ONLY EXCEPTION is if you are transferring.
about 3 hours ago, Preston County Schools
West Bus Alternate - Bus 14-25, Laura Fisher, will be using alternate stop locations today - Mt Zion Rd.
about 6 hours ago, Preston County Schools
Due to the inclement weather days off that have been called, the end of the Second Term Grading Period and Semester is changing. The new end of the current grading period and first semester will now be Wednesday, January 7th, with grades due Friday the 9th, and report cards going home on Wednesday the 14th. The new semester and third grading period will begin on Thursday, January 8th.
about 18 hours ago, Preston County Schools
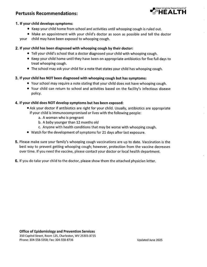
Whooping Cough Notifications - Today, multiple notifications went out to Preston High Students who were possibly recently exposed to a positive case and/or cases of Whooping Cough (Pertussis). The PHS Nurse is working with staff to contact trace students. If your student was missed, but you know they were in class with a positive case, still be on the lookout for symptoms and take any necessary precautions. Information is attached. Any questions can be directed to the Preston County Health Department.
about 23 hours ago, Preston County Schools
With today being a Brain Freeze (Non-Traditional Instruction) day, extra-curricular activities may be conducted if conditions are anticipated to improve throughout the day. At this time, all extra-curricular activities including athletic practices and games and other scheduled school events may take place. Students and/or parents should contact their coaches or event sponsors to determine the status and potential times for practice session or events.
1 day ago, Brad Martin
Preston County Schools will be closed for tomorrow Tuesday, December 16th & it will be a “Brain Freeze” Day. Students do not report. Maintenance, mechanics, and custodians report on a regular schedule and all other staff reports on a 2-hour delay including long-term sub personnel.. All schools will be open from 10 AM to 12 PM for students who need help & lunches will be served from 11 AM to 1 2 PM. The status on extracurricular activities will be announced tomorrow.
1 day ago, Brad Martin
Preston County Schools will be closed for tomorrow, Tuesday, December 16th & it’s a “Brain Freeze” day. Students do not report; however, teachers & most staff will be reporting on a 2-hour delay & will be available to answer student & parent questions. In addition, students may come to school sites throughout the county from 10 AM to 12 PM for assistance with assigned activities. Lunches at each school site will be available from 11 AM-12 PM. Parents, please contact the school if you plan to come in for lunch. Resources on Brain Freeze can be found on the Preston County BOE on the scrolling marquee. Additional questions can be addressed by your local school. The status of after-school activities will be announced tomorrow.
2 days ago, Brad Martin
(Final Meeting) - Buckwheat Court 2026 Info - This evening's meeting for those interested in the BWF Court (final meeting if you haven't attended another), is still taking place at the KVFD Community building at 6:00 pm. The people interested in being selected for Children's court will meet at 6:00pm. Junior princess interested parties will meet at 6:30pm.
And all juniors interested in Queen Ceres , King Buckwheat , or being an escort, will be meeting at 7:00pm. If you have any questions or concerns please reach out to Shelley Shaffer at 304-288-6706 or Susie Sheets at 304-698-1984.
2 days ago, Preston County Schools
The Stags and Wildcats would like to thank everyone who came out on Friday evening to support the student and local vendors at the Craft Fair and Deck the Halls. Fun was had by all in attendance with games, hot chocolate, cookie decorating, ornament making, and a winter coat giveaway. Thanks to all those involved in the planning and all of the participants.
2 days ago, Preston County Schools
Monday, January the 5th at 5:30 PM at the BOE Boardroom, there is a scheduled work session with our state legislative representatives to discuss current educational issues. All members of the public are invited to attend and submit questions. The event will be highlighted by remarks from Senate President Randy Smith, Senator Jay Taylor, Delegate Buck Jennings, and Delegate George Street. We hope to see our personnel and public in attendance.
2 days ago, Preston County Schools
Today, Preston County Schools would like to recognize the hard work of our Athletic Director, Jayme Bishop, on managing our athletic programs and supporting student-athletes, coaches and administrators. When it comes to sports, athletes and coaches often take center stage, receiving all the glory and adoration. But behind the scenes, there are dedicated individuals who work tirelessly to ensure that everything runs smoothly. Thank you Mrs. Bishop for all the work you put into Preston County Middle and High School Athletics. We appreciate you.
2 days ago, Preston County Schools
The Preston County Board of Education meeting scheduled for Monday, December 15, 2025 has been postponed and rescheduled for Wednesday, December 17th at the Kingwood Elementary Cafeteria with a student hearing at 5 PM and the regular meeting beginning at 6 PM.
3 days ago, Brad Martin
Preston County Schools will be closed tomorow, Monday, December 15th. Maintenance, Mechanics, and 240+ day custodians report on schedule. and additional 240-day+ employees report on a 2-hour delay. All other employees and students do not report and all scheduled extra-curricular activities are postponed. The scheduled BOE meeting has also been cancelled and rescheduled for Wednesday, December 17th.
3 days ago, Brad Martin
Craft Fair this evening in Kingwood
5 days ago, Preston County Schools
Bruceton Bus - Bus 29-23, Brett Slagle will be following the B run schedule and times this afternoon.
5 days ago, Preston County Schools

26-27 Pre-K/K Registration
Application Link - PK - https://5il.co/3sx66 K - https://5il.co/3sx6e
Preston County Schools is now accepting applications for 2026-2027 Pre-K and Kindergarten programs.
Pre-K Registration will be held Friday, January 16, 2026, from 9:00 a.m.-2:00 p.m. at Aurora, Bruceton, Kingwood Elementary, South Preston, Terra Alta/East Preston, and West Preston Schools.
Kindergarten registration will be held Friday, January 16, 2026, from 9:00 a.m.-2:00 p.m. at Aurora, Bruceton, Kingwood Elementary, South Preston, Terra Alta/East Preston, and West Preston Schools.
Applications can be found on the Preston County Schools website and dropped off at one of the schools listed above. If you need a paper copy, it is available at the schools to pick up, complete and return to the school. The following information will need to be provided:
• completed preschool application
• copy of the child’s birth certificate from the Office of Vital Statistics
• immunization records
• completed well-child visit form
• dental check form
To register for PreK you need to be 4 years old by June 30. (No Exceptions)
To register for kindergarten you need to be 5 years old by June 30.
If you are registering a Kindergarten student and they are already enrolled in a Preston County PreK then you DO NOT have to register them for kindergarten. The ONLY EXCEPTION is if you are transferring.
5 days ago, Preston County Schools
West Bus Announcement- Bus 14-25, Laura Fisher, will be using alternate stop locations tomorrow.
6 days ago, Preston County Schools
Preston County Schools will operate on a 2-hour delay for tomorrow, Thursday, December 11th. Maintenance, mechanics, & custodians report on a regular schedule, & all other students & staff will report on a 2-hour delay.
7 days ago, Brad Martin
Change in Meeting - Buckwheat Court 2026 Info - This evening's meeting for those interested in the BWF Court (final meeting if you haven't attended another), Wednesday, December 10th, will now be moved to Monday, December 15th due to incoming inclement weather. Monday's meeting will still be at the KVFD Community building at 6:00 pm. The people interested in being selected for Children's court will meet at 6:00pm. Junior princess interested parties will meet at 6:30pm.
And all juniors interested in Queen Ceres , King Buckwheat , or being an escort, will be meeting at 7:00pm. If you have any questions or concerns please reach out to Shelley Shaffer at 304-288-6706 or Susie Sheets at 304-698-1984.
7 days ago, Preston County Schools
After conferring with Preston County OEM and National Weather Service, Preston County Schools will be dismissing early on Wednesday December 10th. Preston High School will dismiss at 1:15pm and go to the Elementary and Middle Schools. Approximate dismissals at schools are Rowlesburg 12:45pm, Central Preston and Kingwood at 1:30pm, South Preston and Terra Alta at 1:50pm, West Preston at 1:55pm, Bruceton at 2:00pm and Aurora at 2:10pm. All after school activities and games are cancelled.
7 days ago, Angellicia Varner