
Reminder (Next Friday): 26-27 Pre-K/K Registration
Application Link - PK - https://5il.co/3sx66 K - https://5il.co/3sx6e
Preston County Schools is now accepting applications for 2026-2027 Pre-K and Kindergarten programs.
Pre-K Registration will be held Friday, January 16, 2026, from 9:00 a.m.-2:00 p.m. at Aurora, Bruceton, Kingwood Elementary, South Preston, Terra Alta/East Preston, and West Preston Schools.
Kindergarten registration will be held Friday, January 16, 2026, from 9:00 a.m.-2:00 p.m. at Aurora, Bruceton, Kingwood Elementary, South Preston, Terra Alta/East Preston, and West Preston Schools.
Applications can be found on the Preston County Schools website and dropped off at one of the schools listed above. If you need a paper copy, it is available at the schools to pick up, complete and return to the school. The following information will need to be provided:
• completed preschool application
• copy of the child’s birth certificate from the Office of Vital Statistics
• immunization records
• completed well-child visit form
• dental check form
To register for PreK you need to be 4 years old by June 30. (No Exceptions)
To register for kindergarten you need to be 5 years old by June 30.
If you are registering a Kindergarten student and they are already enrolled in a Preston County PreK then you DO NOT have to register them for kindergarten. The ONLY EXCEPTION is if you are transferring.


Happy New Year Preston County!

Reminder, next Monday, January the 5th at 5:30 PM at the BOE Boardroom, there is a scheduled work session with our state legislative representatives to discuss current educational issues. All members of the public are invited to attend and submit questions. The event will be highlighted by remarks from Senate President Randy Smith, Senator Jay Taylor, Delegate Buck Jennings, and Delegate George Street. We hope to see our personnel and public in attendance.

Merry Christmas & Happy Holidays!!!

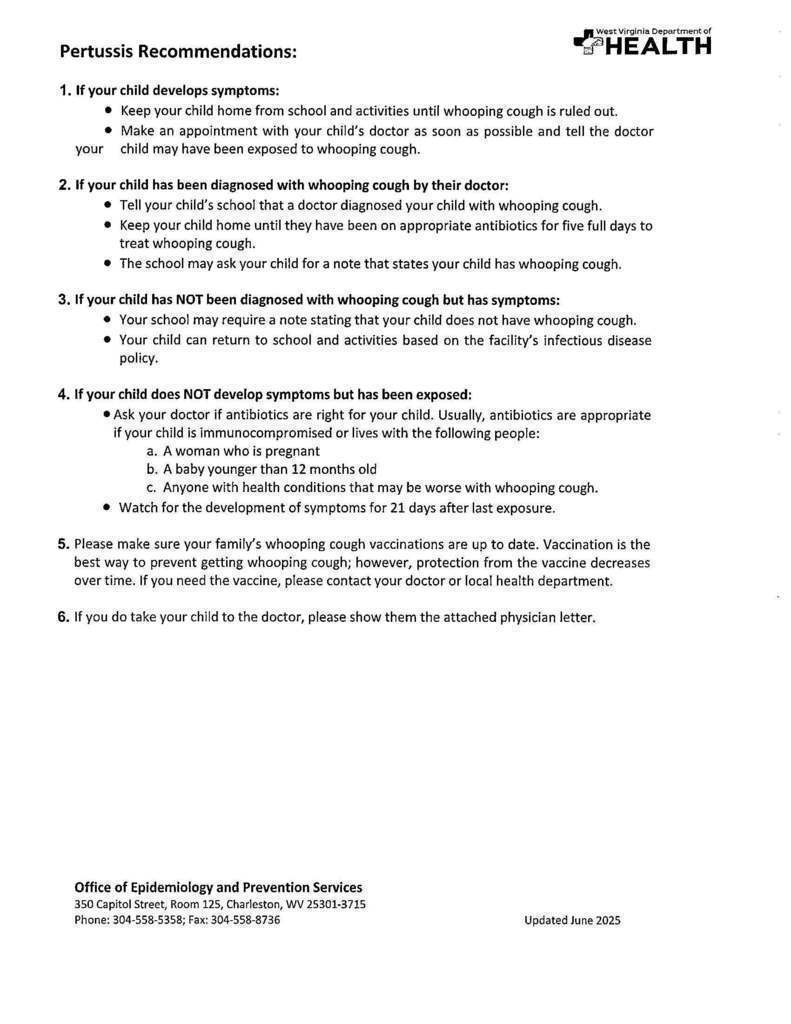
Holiday Break Whooping Cough Notifications - The last round of notifications from our most recent positive cases will be going out today to those who were possibly recently exposed to a positive case and/or cases of Whooping Cough (Pertussis). With the long holiday break ahead of us, just a reminder to be on the lookout for symptoms and take any necessary precautions. Information is attached. Any questions can be directed to the Preston County Health Department. We hope these messages become very few, far between and non-existent, and want everyone to have a Happy, Healthy, and Safe Holiday Season.




Reminder: Monday, January the 5th at 5:30 PM at the BOE Boardroom, there is a scheduled work session with our state legislative representatives to discuss current educational issues. All members of the public are invited to attend and submit questions. The event will be highlighted by remarks from Senate President Randy Smith, Senator Jay Taylor, Delegate Buck Jennings, and Delegate George Street. We hope to see our personnel and public in attendance.

(Reminder with corrected K Registration Date): 26-27 Pre-K/K Registration
Application Link - PK - https://5il.co/3sx66 K - https://5il.co/3sx6e
Preston County Schools is now accepting applications for 2026-2027 Pre-K and Kindergarten programs.
Pre-K Registration will be held Friday, January 16, 2026, from 9:00 a.m.-2:00 p.m. at Aurora, Bruceton, Kingwood Elementary, South Preston, Terra Alta/East Preston, and West Preston Schools.
Kindergarten registration will be held Friday, January 16, 2026, from 9:00 a.m.-2:00 p.m. at Aurora, Bruceton, Kingwood Elementary, South Preston, Terra Alta/East Preston, and West Preston Schools.
Applications can be found on the Preston County Schools website and dropped off at one of the schools listed above. If you need a paper copy, it is available at the schools to pick up, complete and return to the school. The following information will need to be provided:
• completed preschool application
• copy of the child’s birth certificate from the Office of Vital Statistics
• immunization records
• completed well-child visit form
• dental check form
To register for PreK you need to be 4 years old by June 30. (No Exceptions)
To register for kindergarten you need to be 5 years old by June 30.
If you are registering a Kindergarten student and they are already enrolled in a Preston County PreK then you DO NOT have to register them for kindergarten. The ONLY EXCEPTION is if you are transferring.





